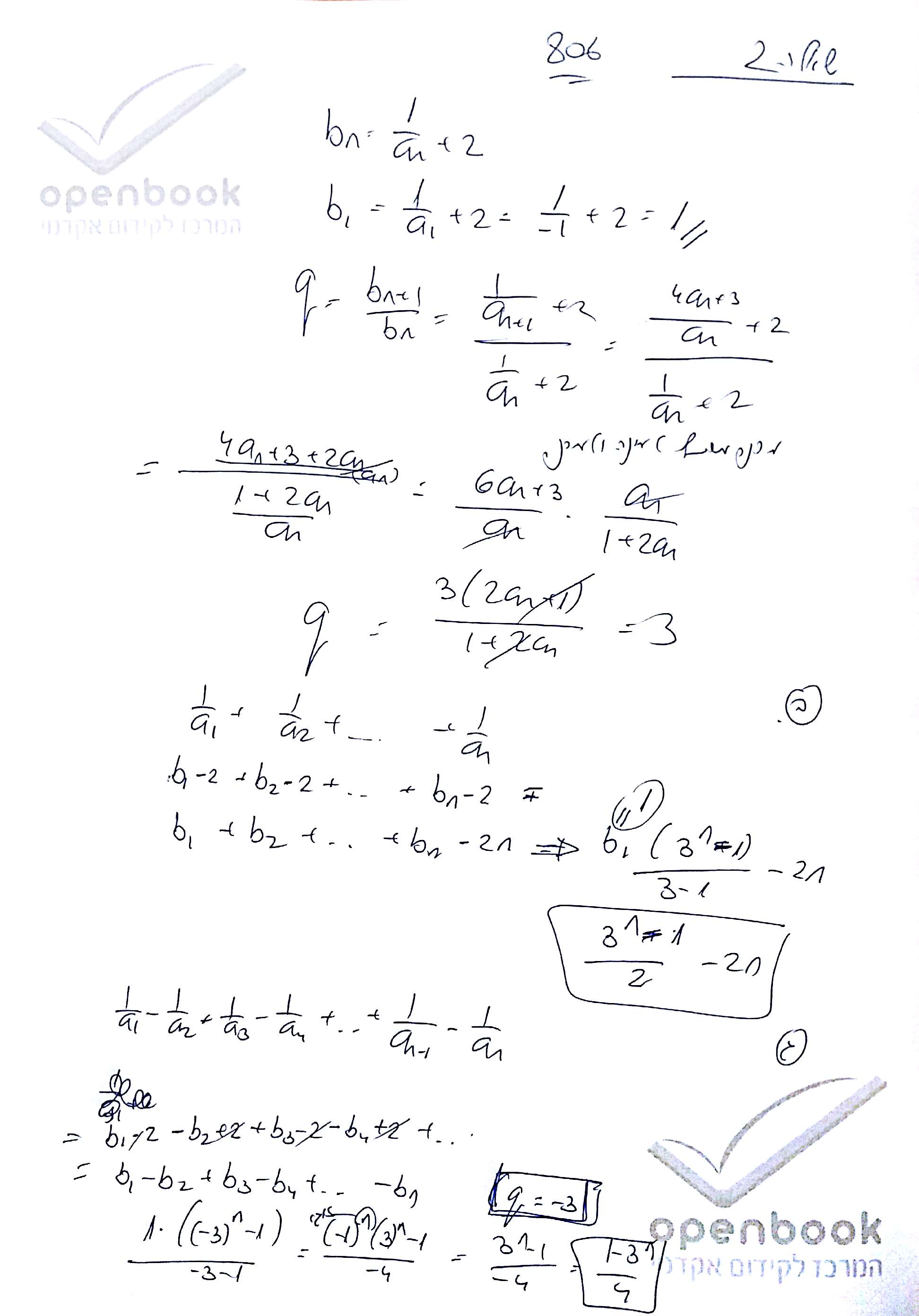
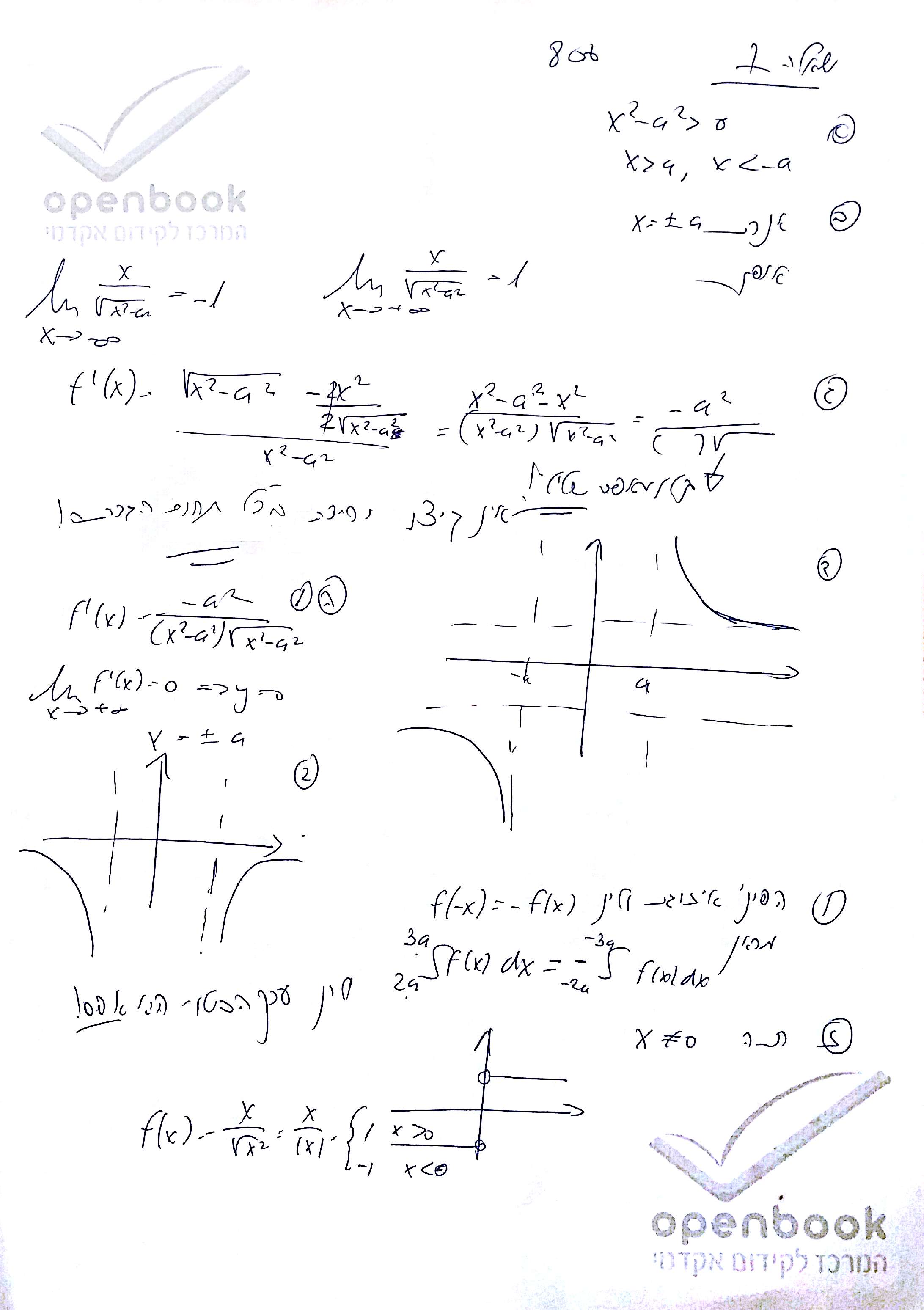
פתרון בגרות חורף 2017 - 5 יח"ל שאלון 35806 / 316
איך זה עובד?
צפו בסרטון והתרשמו ממגוון האפשרויות להצליח בקורסים 😉
המלצה של דניאל
מנכשל להצטיינות – ההמלצה של דניאל 📈
דניאל הגיע אליי אחרי שנכשל במתמטיקה – ויצא עם ממוצע מטורף!
אחרי תקופה קצרה של לימודים יחד, הוא לא רק שיפר את הציון – הוא הצטיין, המשיך ל־807/572, וסיים עם הישגים מדהימים.
הכי מרגש? לשמוע ממנו איך הלמידה איתי שינתה לו את הגישה והביאה אותו לתוצאה שהוא אפילו לא חלם עליה.
🎥 צפו בסרטון – ותרגישו את ההשראה!
המלצה של אופק
ממליצים נוספים
מה באתר?
הכירו את רוית הלפנבאום - רויתמטיקה
נעים להכיר, רוית הלפנבאום a.k.a רויתמטיקה מורה למתמטיקה ובעלת האתר.
BS.c & M.A, בעלת תואר ראשון בהנדסה בהצטיינות, תואר שני בהוראת מתמטיקה לעל יסודי ותעודת הוראה לעל יסודי.
בעלת רשיון הוראה ז׳-יב׳ מיוחד להגשה לבגרות 5 יח״ל
מומחית בלמידה מרחוק
מרצה עם למעלה מ-20 שנות ניסיון
מלמדת:
- הגשה לבגרות במתמטיקה 3-5 יח״ל
- סטטיסטיקה א+ב
- מבוא למיקרו ומקרו כלכלה
- חדו״א
איך שומרים סרטון לצפייה חוזרת?
בכל סרטון באתר יש כפתור 'צפייה חוזרת' 🔁
בלחיצה – הסרטון נשמר בפרופיל האישי שלכם.
שחזור סיסמה לאתר
בכמה צעדים פשוטים תוכלו לשחזר אותה דרך עמוד הכניסה לאתר.
צפו בסרטון ותראו כמה זה קל.
איך משנים סיסמה באתר?
בסרטון תראו בדיוק איך לבצע את זה שלב אחרי שלב.
איך שואלים שאלה בדף הסרטון?
צפיתם בסרטון ולא הבנתם משהו? קורה לכולם! 😅
בכל סרטון באתר יש אזור שאלות – בו אפשר לשאול ולקבל תשובות שיפרסמו בדף הסרטון לכולם ✏️
אנחנו עונים לכם בדף הסרטון.
🎥 צפו בסרטון כדי לראות בדיוק איך שואלים ואיפה רואים את התשובה.
איך קונים באתר? איך מבצעים רכישה בפועל?
הרכישה באתר קלה ומהירה – הנה כל השלבים:
- 🔹 בוחרים קורס או מרתון ומוסיפים לסל
- 🔹 נרשמים לאתר או מתחברים לחשבון
- 🔹 משלמים בדף מאובטח (SSL)
- 🔹 ויש לכם קופון? הוסיפו אותו בשלב הסל לפני התשלום
לא בטוחים או רוצים לשאול שאלה? 💬
באותו דף של הסרטון תוכלו לשאול – ולקבל תשובה מותאמת אישית בפרופיל שלכם.
יש לי קופון הנחה – איפה מוסיפים אותו?
🧾 כשאתם מגיעים לסל הקניות, יופיע שדה להזנת קוד קופון.
פשוט הקלידו את הקוד ולחצו על 'עדכן'.
💡 יש לכם כמה קופונים? אפשר להזין כמה קודים בזה אחר זה – והמערכת תחשב את ההנחה בצורה אוטומטית.







